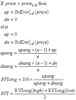
網友問了以下的公式能否用XS寫出來
我試著寫了對應的XS自訂指標腳本如下
VAR:UP1(0),DN1(0),UPAVG(0),DNAVG(0),RVIORIG(0),RVI1(0); IF CLOSE>CLOSE[1] THEN BEGIN UP1=standarddev(CLOSE,9,1); DN1=0; end else begin UP1=0; DN1=standarddev(CLOSE,9,1); END; INPUT:PERIOD(10,"期別"); UPAVG=(UPAVG*(PERIOD-1)+UP1)/PERIOD; DNAVG=(DNAVG*(PERIOD-1)+DN1)/PERIOD; RVIORIG=100*(UPAVG/(UPAVG+DNAVG)); RVI1=(HIGHEST(RVIORIG,PERIOD)+LOWEST(RVIORIG,PERIOD))/2; plot1(RVI1); 對應的圖如下
我想說把它視覺化一些,根據指標的精神,就把RVI減 5 0 畫成以下的柱狀圖,這樣是不是比較好看呢?
或是像指標說明裡說的,把RVI當成其他指標的確認指標,然後在RVI跌破40時作多出場,突破 6 0時空單回補




